Welcome to my webpage!
I’m a Postdoctoral Researcher (Contrattista di ricerca) at LUISS Guido Carli, where I’m also a Research Affiliate of the Italian Centre for Electoral Studies (CISE) and an Adjunct Professor at the Department of Political Science, LUISS Guido Carli. Previously, I held postdoc positions at the University of Verona (2023-2026), as well as visiting positions at KU Leuven’s “Voting & Democracy” research group (2025) and Sciences Po’s CEVIPOF (2022).
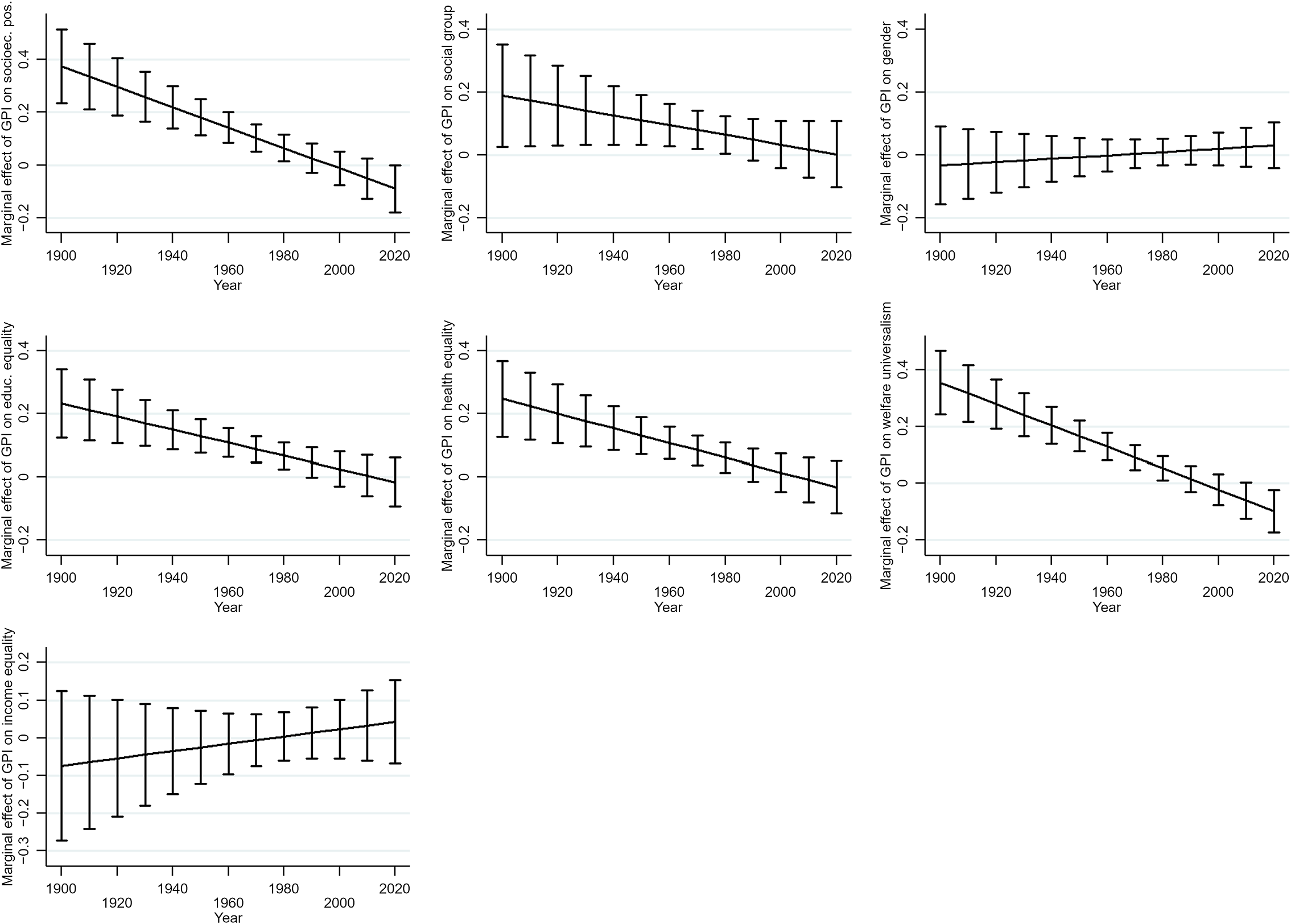
I specialise in left politics, group-based politics, and issue politics. I’m especially interested in how conflict over societal inequalities translates into both party strategies and political behaviour along social group lines. I also work on other projects in the broader field of electoral studies.
My research appears in journals such as the European Journal of Political Research, Perspectives on Politics, Electoral Studies, and Social Politics, among others. In 2024, I was the first recipient of the “Mario Caciagli Award” for Best Article published in the Italian Journal of Electoral Studies.
In November 2023, I completed my PhD in Political Science at LUISS Guido Carli. Earlier, I studied in the UK (MSc, LSE) and Italy (Bachelor’s degree, Sapienza University of Rome).
My first single-authored monograph, “Varieties of Social Democracy in Western Europe: The Impact of External Constraints on Ideological Differences”, is forthcoming with Palgrave Macmillan.
